鱼C论坛

 找回密码
 立即注册
查看: 3334|回复: 11

读取txt文件中每一列数据最大最小值

[复制链接]
发表于 2018-4-12 20:24:19 | 显示全部楼层 |阅读模式

马上注册,结交更多好友,享用更多功能^_^

您需要 登录 才可以下载或查看,没有账号?立即注册

x
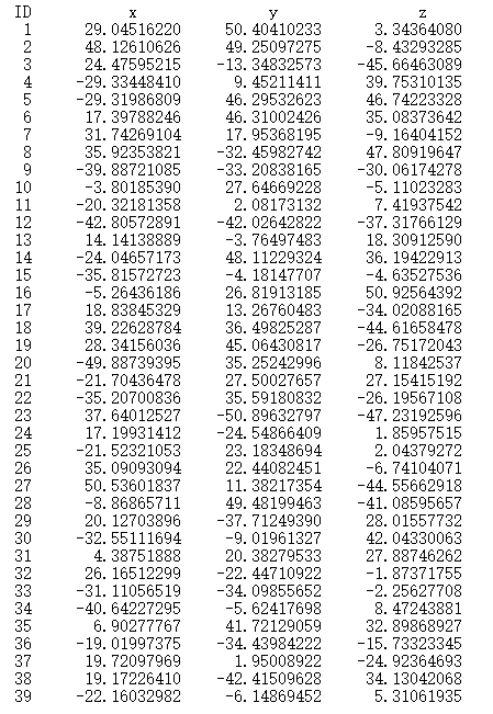
帮我解决一下
${NKL`]D{`O$@(7F5{3QNEO.png
小甲鱼最新课程 -> https://ilovefishc.com
回复

使用道具 举报

 楼主| 发表于 2018-4-12 22:27:32 | 显示全部楼层
来个大神讲解下啊
小甲鱼最新课程 -> https://ilovefishc.com
回复 支持 反对

使用道具 举报

发表于 2018-4-12 23:03:48 | 显示全部楼层
遍历循环每一行
用一个列表保存为如下形式
list1 = [
[1, 29.0,50.4,3,3],
[2, 48.1, 49.25, -8],
......
]

最后取出每列判断
如list[0][0]
list[1][0]
list[2][0]
小甲鱼最新课程 -> https://ilovefishc.com
回复 支持 反对

使用道具 举报

发表于 2018-4-12 23:47:20 | 显示全部楼层
本帖最后由 瞬秒爆加速 于 2018-4-12 23:54 编辑

看这个形式是pandas导出来的,用pandas读取,用pandas的操作得出最小值

如果一定要用python读取txt信息话
  1. with open() as f:
  2. info=f.readlines()

  3. first = [l.split('\t") for l in info]
  4. min([i[2] for i in first])
复制代码
小甲鱼最新课程 -> https://ilovefishc.com
回复 支持 反对

使用道具 举报

 楼主| 发表于 2018-4-13 18:54:57 | 显示全部楼层
运行不了啊
FFCY`B(AVOJTQL0$5ET)C2U.png
小甲鱼最新课程 -> https://ilovefishc.com
回复 支持 反对

使用道具 举报

 楼主| 发表于 2018-4-15 11:52:31 | 显示全部楼层
瞬秒爆加速 发表于 2018-4-12 23:47
看这个形式是pandas导出来的,用pandas读取,用pandas的操作得出最小值

如果一定要用python读取txt信息话
...

运行不了啊 大佬
小甲鱼最新课程 -> https://ilovefishc.com
回复 支持 反对

使用道具 举报

发表于 2018-4-16 01:15:04 | 显示全部楼层
本帖最后由 瞬秒爆加速 于 2018-4-16 01:19 编辑
哨子 发表于 2018-4-15 11:52
运行不了啊 大佬

打印first,看看是不是 数据分列了,不是的化,可能要把'\t' 这个 改一下,使其分列
小甲鱼最新课程 -> https://ilovefishc.com
回复 支持 反对

使用道具 举报

发表于 2018-4-16 01:16:29 | 显示全部楼层
哨子 发表于 2018-4-15 11:52
运行不了啊 大佬


小甲鱼最新课程 -> https://ilovefishc.com
回复 支持 反对

使用道具 举报

 楼主| 发表于 2018-4-27 18:15:40 | 显示全部楼层
瞬秒爆加速 发表于 2018-4-16 01:15
打印first,看看是不是 数据分列了,不是的化,可能要把'\t' 这个 改一下,使其分列

感觉还是不会。。。。。。。。
小甲鱼最新课程 -> https://ilovefishc.com
回复 支持 反对

使用道具 举报

发表于 2018-4-27 21:29:33 | 显示全部楼层
  1. a=[]
  2. b=[]
  3. c=[]
  4. f=open('data.txt')
  5. for each in f:
  6.     each=each[:-1]  #去掉末尾\n
  7.     (ID,x,y,z)=each.split('\t',3)  
  8.     a.append(x)
  9.     b.append(y)
  10.     c.append(z)
  11. a.remove('x')
  12. b.remove('y')
  13. c.remove('z')
  14. print(max(a))
  15. print(max(b))
  16. print(max(c))
  17. f.close()
复制代码
小甲鱼最新课程 -> https://ilovefishc.com
回复 支持 反对

使用道具 举报

 楼主| 发表于 2018-5-4 10:45:06 | 显示全部楼层
小甲鱼最新课程 -> https://ilovefishc.com
回复 支持 反对

使用道具 举报

发表于 2018-5-16 17:04:52 | 显示全部楼层

给个最佳答案,可以吗
小甲鱼最新课程 -> https://ilovefishc.com
回复 支持 反对

使用道具 举报

您需要登录后才可以回帖 登录 | 立即注册

本版积分规则

小黑屋|手机版|Archiver|鱼C工作室 ( 粤ICP备18085999号-1 | 粤公网安备 44051102000585号)

GMT+8, 2026-3-25 00:00

Powered by Discuz! X3.4

© 2001-2023 Discuz! Team.

快速回复 返回顶部 返回列表